問題 1
OX
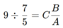
Cは6です。
※約分できるときは約分をしましょう。
ヒント
整数は分母が1と考えましょう。 分数のわり算は 「逆数のかけ算」にしましょう。


整数は分母が1と考えましょう。 分数のわり算は 「逆数のかけ算」にしましょう。

整数は分母が1と考えましょう。 分数のわり算は 「逆数のかけ算」にしましょう。

8
8
整数は分母が1と考えましょう。 分数のわり算は 「逆数のかけ算」にしましょう。

15
15


5
5
整数は分母が1と考えましょう。 分数のわり算は 「逆数のかけ算」にしましょう。


7
7



5
5

小数を分数に直しましょう。 分数のわり算は 「逆数のかけ算」にしましょう。


2
2


2
2
小数を分数に直しましょう。 分数のわり算は 「逆数のかけ算」にしましょう。



3
3
小数を分数に直しましょう。 分数のわり算は 「逆数のかけ算」にしましょう。

3/4は「よんぶんのさん」です